VOCs深冷冷凝回收——苯
VOCs深冷冷凝回收——苯摘要
VOCs治理行业,或许我们碰到的最多的物料组分,那就是苯。 苯(Benzene,C₆H₆)一种碳氢化合物即最简单的芳烃。苯化学式 C6H6,一种碳氢化合物即最简单的芳烃,在常温下是可燃、有
VOCs治理行业,或许我们碰到的多的物料组分,那就是苯。

苯(Benzene,C₆H₆)一种碳氢化合物即简单的芳烃。苯化学式 C6H6,一种碳氢化合物即简单的芳烃,在常温下是可燃、有致癌毒 性的无色透明液体,并带有强烈的芳香气味。苯的沸点为 80.1℃,熔点为 5.5℃,常温下苯的密度为 0.88g/cm3。苯难溶于水,易溶于乙醇、乙醚和丙酮等多数有机溶剂,本身也可作为有机溶剂,无机物在苯中不溶解。高浓度苯对中枢神经系统有麻醉作用,引起急性中毒;长期吸入苯可导致再生障碍性贫血。长期吸入 苯会出现白细胞减少和血小板减少,严重时可使骨髓造血机能发生障碍,导致再生障碍性贫血。若造血功能完全被坏,可发生致命的颗粒性白细胞消失症,并可引起白血病。

苯的深冷冷凝主要运用在储罐及装车的苯逸散气中,因为此类排放源风量小、浓度超高,排放具有瞬时性,常规技术和焚烧技术都无法安全达标解决此类苯逸散气治理,加之VOCs治理越来越强调资源属性,能回收的需要优先回收。关于苯的深冷冷凝,我们常说的深冷是三级冷,温度一般低于-70℃,很多人就开始疑虑了,苯的熔点是5.5℃,有必要冷到这么低吗,其实学过物理化学的都明白,相态变化开始是个过程,并不是一个终点,苯的深冷特别需要注意在深冷装置中的除霜问题。

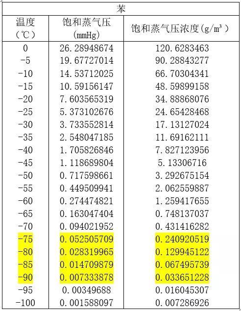
关于苯的冷凝终点温度,可以用安托因方程进行换算,结果如下,每个冷凝温度点对应的苯蒸气饱和浓度如下:

一般来讲,需要将三级冷的温度至少定在-70℃(其饱和蒸汽浓度在431mg/m3),这样冷凝后端再接活性炭吸脱附系统,处理冷凝后的不凝气,实现达标排放。
本文《VOCs深冷冷凝回收——苯》由天清佳远发布,如有疑问欢迎联系我们。


